Il est très simple d’insérer des équations dans un document :
- Sélectionnez l’onglet Insertion dans le ruban.
- Cliquez sur la flèche sous (ou à droite de) l’icône Equation dans le groupe Symboles.
- Choisissez l’une des équations proposées.

Si l’équation recherchée n’est pas disponible dans la galerie, elle se trouve peut-être dans la galerie Office.com. Cliquez sur la flèche sous l’icône Equation dans le groupe Symboles, pointez Autres équations sur Office.com et choisissez une équation dans la liste :

Si vous ne trouvez toujours pas ce que vous cherchez, vous allez devoir saisir l’équation manuellement. Dans l’onglet Insertion du ruban, cliquez sur l’icône Equation (vous pouvez également appuyer simultanément sur les touches Alt et = si vous appréciez les raccourcis clavier).
Une zone de saisie s’affiche dans le document et l’onglet Outils d’équation/Conception est ajouté au ruban. Vous l’utiliserez pour définir votre équation :

Si vous connaissez le langage LaTeX, vous pouvez taper l’équation en LaTeX et la convertir en équation à l’aide de deux raccourcis clavier.
Tapez par exemple :
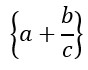
\left{a+\frac{b}{c}\right}
Sélectionnez ce code puis appuyez simultanément sur les touches Alt et = du clavier. Le code apparait dans une zone de saisie d’équation :

L’onglet Outils d’équation/Conception est ajouté au ruban et devient actif. Dans le groupe Conversions, cliquez sur l’icône Convertir et choisissez le format Professionnel (vous pouvez également appuyer sur Contrôle + = si vous appréciez les raccourcis-clavier) :

Le code LaTeX est converti au format professionnel :

Cliquez en dehors de la zone de saisie pour intégrer l’équation au document :

Je suis sûr que les professeurs de Mathématiques, les étudiants et les scientifiques apprécieront.
Remarque
Si vous voulez découvrir le langage LaTeX ou vous rafraîchir la mémoire, je vous conseille le cours « Rédigez des documents de qualité avec LaTeX » disponible ici : https://bit.ly/2vyZ2R1.
Une dernière possibilité : vous pouvez écrire l’équation à la main, comme vous le feriez sur une feuille de papier. Basculez sur l’onglet Insertion du ruban. Cliquez sur la flèche sous (ou à droite de) l’icône Equation dans le groupe Symboles, puis cliquez sur Equation manuscrite. Il ne vous reste plus qu’à dessiner l’équation dans la zone dédiée. Cette technique est bien plus efficace si vous utilisez un stylet qu’une souris.


